跳到主要内容

树的直径

树的直径定义和求法都很简单,但是它有许多神奇的性质和用法,在树上问题中十分重要。

定义

一棵树中最长的简单路径称为树的直径。 树的直径可能有一个或多个;当然,一棵树的直径长度总是唯一的。

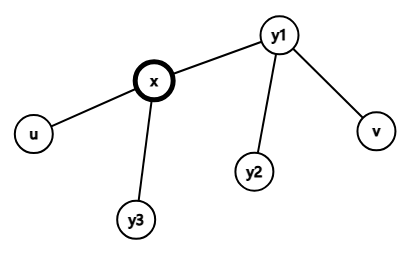
Fig. 1\text{Fig. 1}

比如上图中的直径就是:421374-2-1-3-7,以及 521375-2-1-3-7 等四条。

下文将从 u 到 v 的简单路径简记为 δ(u,v)\delta(u,v)

DFS 求法

树的直径有很多求法,时间复杂度都是 O(n)O(n)。不过笔者比较喜欢用 DFS 求直径。DFS 求法要求树的权值为正或没有权值。做法如下:

  • 从任意节点出发做 DFS,找到树上离这个节点最远的节点 uu
  • uu 出发,找到树上离这个节点最远的节点 vv
  • δ(u,v)\delta(u,v) 即树的一条直径。

这个方法的正确性在后面的“性质”中有证明。

性质(定理)

树的直径有很多神奇的性质。

正边权树上,所有直径的中点重合

  • 假设正边权树上的两条中点不重合的直径 δ(u1,v1)=δ(u2,v2)\delta(u_1,v_1)=\delta(u_2,v_2),中点分别是 x1,x2x_1,x_2

  • 则存在一条路径 δ(u1,v2)=δ(u1,x1)+δ(x1,x2)+δ(x2,v2)\delta(u_1,v_2)=\delta(u_1,x_1)+\delta(x_1,x_2)+\delta(x_2,v_2)

  • 而由中点可知 δ(x2,v2)=δ(x1,v1)\delta(x_2,v_2) = \delta(x_1,v_1),于是 δ(u1,x1)+δ(x2,v2)=δ(u1,v1)\delta(u_1,x_1)+\delta(x_2,v_2)=\delta(u_1,v_1)

  • 于是 δ(u1,v2)=δ(u1,v1)+δ(x1,x2)>δ(u1,v1)\delta(u_1,v_2)=\delta(u_1,v_1)+\delta(x_1,x_2)\gt\delta(u_1,v_1),我们找到了一条比直径更长得路径。矛盾。

证毕。

正边权树上,离任意点最远的点是直径的端点

这也是 DFS 方法为什么正确的原因。反证法:

  • 假设离树上点 xx 最远的点为 yy,它们之间的路径 δ(x,y)\delta(x,y) 称为 xx 的最远路径。假设 yy 不是任何直径的端点。假设树的一条直径为 δ(u,v)\delta(u,v)

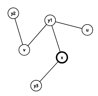
Fig. 2(a)\text{Fig. 2(a)}

Fig. 2(b)\text{Fig. 2(b)}

  • Fig. 2(a)\text{Fig. 2(a)} 所示,如果 xδ(u,v)x\in\delta(u,v),那么:

    • 如果 y1δ(u,v)y_1\in\delta(u,v),因为 yy 不是直径端点,所以必然有 δ(x,v)=δ(x,y1)+δ(y1,v)>δ(x,y1)\delta(x,v)=\delta(x,y_1)+\delta(y_1,v)\gt\delta(x,y_1)。矛盾。

    • 如果 y2δ(u,v)y_2\notin\delta(u,v),那么当且仅当 δ(x,y2)>δ(x,v)\delta(x,y_2)\gt\delta(x,v) 时,δ(x,y2)\delta(x,y_2) 才能成为最长路径。如果这样,那么

      δ(u,x)+δ(x,y2)>δ(u,x)+δ(x,v)\delta(u,x)+\delta(x,y_2)\gt\delta(u,x)+\delta(x,v),即 δ(u,y2)>δ(u,v)\delta(u,y_2)\gt\delta(u,v)。矛盾。

    • yy 处于 y3y_3 位置时与 y2y_2 同理。

  • Fig. 2(b)\text{Fig. 2(b)} 所示,如果 xδ(u,v)x\notin\delta(u,v),那么:

    • 如果 y1δ(u,v)y_1\in\delta(u,v),当然有 δ(x,u)=δ(x,y1)+δ(y1,u)>δ(x,y1)\delta(x,u)=\delta(x,y_1)+\delta(y_1,u)\gt\delta(x,y_1)。矛盾。
    • 如果 y2δ(u,v)y_2\notin\delta(u,v),那么需要满足 δ(x,y2)>δ(x,v)\delta(x,y_2)\gt\delta(x,v),那么 δ(u,y2)>δ(u,v)\delta(u,y_2)\gt\delta(u,v)。矛盾。
    • yy 处在 y3y_3 位置时与 y2y_2 同理。

证毕。